北航新闻网2月5日电(通讯员 陈静)
2021年2月4日,《Nature Materials》以在线全文Article的形式发表了我校化学学院江雷院士团队程群峰教授课题组与美国德克萨斯大学达拉斯分校Ray H. Baughman院士团队在仿生高性能石墨烯薄膜方面的最新研究成果“High-strength scalable graphene sheets by freezing stretch-induced alignment”。北航卓百博士后万思杰博士、陈英博士、房少立教授为第一作者,Ray H. Baughman院士和程群峰教授为通讯作者,北京欧美大片ppt免费大全化学学院为第一完成单位。

石墨烯具有优异的力学和电学性能,是构筑面向未来先进航空飞行器的结构功能一体化零部件(如小型无人机的蒙皮)的理想基元材料。因此,如何将石墨烯纳米片组装成宏观高性能纳米复合材料是目前该领域的巨大挑战。主要存在的关键科学问题:(1)石墨烯纳米片的褶皱结构和不规整堆积排列;(2)石墨烯层间较弱的界面相互作用。
鉴于此,程群峰教授课题组和Ray H. Baughman院士团队提出了外力牵引下有序界面交联的新型组装策略(图1a),揭示了界面交联“冻结”外力牵引诱导取向结构的科学原理,解决了石墨烯纳米片组装过程中的两个关键科学问题,制备了高强度高导电的石墨烯薄膜(图1b)。这种新型构筑策略为其他二维纳米片的宏观组装提供了新的研究思路。

图1. 高性能石墨烯薄膜的制备过程和结构示意图。
研究团队首先通过离子束切割组装的还原氧化石墨烯(rGO)薄膜,发现其内部呈现多孔、褶皱结构(图2a、c),导致石墨烯薄膜的性能较低。其次,虽然单纯的外力牵引可以在一定程度上降低石墨烯纳米片的褶皱、提升其规整取向度,但是当外力卸载时,诱导取向的结构会发生部分回弹,从而在一定程度上降低了取向度。因此,我们提出在外力牵引下有序界面交联,实现“冻结”此结构,进而提升石墨烯薄膜的规整取向度和密实度。如图2b、c所示,石墨烯(SB-BS-rGO)薄膜内的石墨烯纳米片规整排列、密实堆积。此外,广角和小角X-射线衍射表征(图2d、e)进一步证实了上述结构。

图2. 石墨烯薄膜取向前(rGO)和取向后(SB-BS-rGO)的结构对比。
石墨烯纳米片取向度和堆积密实度的提高,以及较强的层间界面相互作用,构筑的石墨烯薄膜(SB-BS-rGO)相比于纯rGO薄膜具有更高的力学和电学性能(图3a、b),其拉伸强度高达1.55 GPa、杨氏模量为64.5 GPa、韧性为35.9 MJ/m3、电导率为1394 S/cm、电磁屏蔽系数为39.0 dB(薄膜厚度2.8 μm),分别是rGO薄膜的3.6、10.6、3.3、1.5和1.5倍。该石墨烯(SB-BS-rGO)薄膜的拉伸强度和韧性远超面内准各向同性的商用碳纤维织物复合材料(图3c);此外,相比于碳纤维复合材料,该SB-BS-rGO薄膜(制备过程的温度低于50ºC)的制备成本较低,且原料(石墨)廉价易得,有望代替商用碳纤维织物复合材料用于汽车和航空飞行器等。同时,该SB-BS-rGO薄膜的比电磁屏蔽效能优于目前文献报道的大多数实心屏蔽材料(图3e)。通过改变外力的大小,可以调节该SB-BS-rGO薄膜的取向度,进而优化其性能。如图3f所示,随着取向度的增加,该SB-BS-rGO薄膜的拉伸强度、杨氏模量和密度逐渐提升,而韧性逐渐降低,这与理论模拟预测结果保持一致。

图3. rGO和SB-BS-rGO薄膜的力学和电学性能比较。
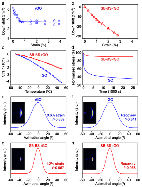
原位拉曼测试结果(图4a、b)表明,在受力拉伸时,SB-BS-rGO薄膜相比于rGO薄膜具有更高效的应力传递效率。此外,由于密实结构限制了石墨烯纳米片的面外变形,因此,SB-BS-rGO薄膜相比于rGO薄膜具有更低的负热膨胀系数(图4c)。这种高取向密实化结构和较强的界面作用也赋予SB-BS-rGO薄膜更强的抗应力松弛能力(图4d)以及更小的取向度对弹性应变的变化率(图4e-h)。

图4. rGO和SB-BS-rGO薄膜的原位拉曼测试结果、负热膨胀曲线、应力松弛曲线以及弹性形变下的取向度变化。
研究团队进一步证实该高性能石墨烯薄膜,在工业上广泛应用的环氧树脂层压和粘接处理后,力学和电学性能未见明显降低(图5a-c)。此外,通过刮涂法代替真空抽滤法,结合该新型构筑策略,制备了大面积高性能石墨烯薄膜(图5d-g),其性能相比于真空抽滤制备的小尺寸较薄的石墨烯薄膜并未明显降低,证明了该新型构筑策略的规模化制备能力,为未来高性能石墨烯薄膜的规模商业应用提供了可能。

图5. SB-BS-rGO薄膜的大规模制备展示及其性能。
该工作得到中科院院士江雷教授的指导,北京大学口腔医学院陈英博士、清华大学王识君博士和徐志平教授以及美国德克萨斯大学达拉斯分校房少立教授和Ray H. Baughman院士的大力合作和帮助,部分模拟计算得到北航高性能计算中心的大力支持。研究工作得到国家自然科学基金优秀青年基金(51522301)、面上项目(22075009,21875010)、牛顿高级学者基金(519611303088)、青年基金(52003011)、牛顿高级学者基金(519611303088,NAF\R1\191235)、北京市杰出青年基金(JQ19006)、中国博士后创新人才支持计划(BX20200038)、中国博士后面上基金(2019M660387)、江门市创新实践博士后研究课题、中国科协优秀中外青年交流计划、北航青年拔尖人才计划、青年科学家团队、北航卓百博士后计划、生物医学工程高精尖中心、以及111引智计划(B14009)等项目的资助。
该论文的原文链接:http://www.nature.com/articles/s41563-020-00892-2
程群峰课题组网站链接:
(审核:刘明杰)